Restart MSST makes box expanding

Yiyang yiyan... at asu.edu
Wed Jan 4 00:15:56 UTC 2017


Hello,

I fixed a bug in my script, which is the line

      PRESSURE [bar] 1000.0

in &MSST section. This valued needs to be updated as 
tr(pressure_tensor)/3.0 at time step 1500,
before we performing the restart run. Doing such update, I get following 
results:

<https://lh3.googleusercontent.com/-rqgsdyVsV7A/WGw4cx4YVII/AAAAAAAAAAo/_EnF8RyHGrQFTzO9hZBnPbT2XZC0-I0CQCLcB/s1600/history-msst3.png>

<https://lh3.googleusercontent.com/-N3m6gTVFI-s/WGw4YqwEAjI/AAAAAAAAAAk/zPX0lGm1lz4G8NdjtUnxI1FTuav_47n0wCLcB/s1600/history-msst4.png>


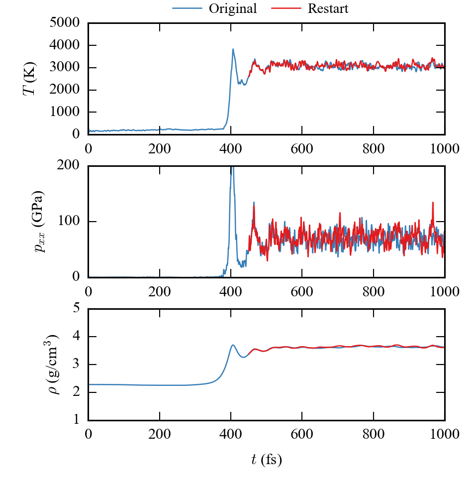
We can see that, if the system has evolved to a resonably stable state, 
then the restart run can statistically reproduce the original curve, 
although not an exact reproduction.


However, if the restart run starts from an unstable state, ie, at 400fs 
where there is huge pressure fluctuation, then there can be deviation from 
the original curve, as shown below:

<https://lh3.googleusercontent.com/-iG28POAImRA/WGw5gh3R7eI/AAAAAAAAAA8/8mZQBDfcW7AaewaJ7eB_IL3sXh4CnNcFQCLcB/s1600/history-msst1.png>
If I completely remove the line 
      PRESSURE [bar]   ***
then the result is again erroneous.

Is it possible to improve this behavior?

Thanks

Regard,
Yiyang
-------------- next part --------------
An HTML attachment was scrubbed...
URL: <https://lists.cp2k.org/archives/cp2k-user/attachments/20170103/9d6d4c51/attachment.htm>


More information about the CP2K-user mailing list